-
n-乙基鄰胺
結構式 物競編號 0280 分子式 c9h13n 分子量 135.21 標簽 n-乙基鄰胺, 2-甲基-n-乙基胺, n-乙基-2-甲基胺, 乙氨基鄰, ... -
尼亞酰胺
結構式 物競編號 014f 分子式 c16h18n4o2 分子量 298.34 標簽 煙肼酰胺, 尼亞拉胺, n-benzyl-β-(isonicotinylhydrazino)propionamide, ... -
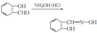
水楊醛肟
結構式 物競編號 027z 分子式 c7h7no2 分子量 137.14 標簽 水楊醛肟, 2-羥基甲醛肟, salicylaldoxime, benzaldehy ... -
2-丙基環己酮
結構式 物競編號 027y 分子式 c9h16o 分子量 140.22 標簽 暫無 編號系統 物性數據 毒理學數據 生態學數據 分子結構數據 計算化學數據 更多 性質與穩定性 貯存方法 合成方法 用途 編號系統 cas號:94-65-5 mdl號 ...





